Blood Disorders


Anemia in the Newborn Infant

Patrick T. McGann
Russell E. Ware

Keywords

  • ABO incompatibility

  • anemia of prematurity

  • fetomaternal hemorrhage

  • G6PD deficiency

  • hereditary spherocytosis

  • physiologic nadir

Anemia is a common laboratory and clinical finding in the newborn period and carries a broad differential diagnosis. Anemia in the newborn may be acute or chronic, and its clinical manifestations range from an asymptomatic laboratory finding to life-threatening signs and symptoms. The diagnosis and interpretation of anemia in the newborn infant are therefore complex and require careful consideration of the gestational age and general health of the infant, details of the perinatal course and delivery, and information regarding the general health of the mother both during pregnancy and through delivery into the postpartum period.

Before interpreting hemoglobin and hematocrit values for infants, it is important to understand the pathophysiology of hemoglobin-oxygen binding and delivery, both before and after birth. Because of the hypoxic environment in utero and the lack of direct gas exchange with the ambient atmosphere, fetal hemoglobin (HbF) predominates throughout late gestation because of its increased affinity to bind and transport oxygen compared to the mother's adult hemoglobin. Despite the predominance of HbF, the in utero environment remains hypoxic, such that the normal hemoglobin concentration is relatively high at birth.

Normal Hematocrit and Hemoglobin Concentrations in Newborn Infants

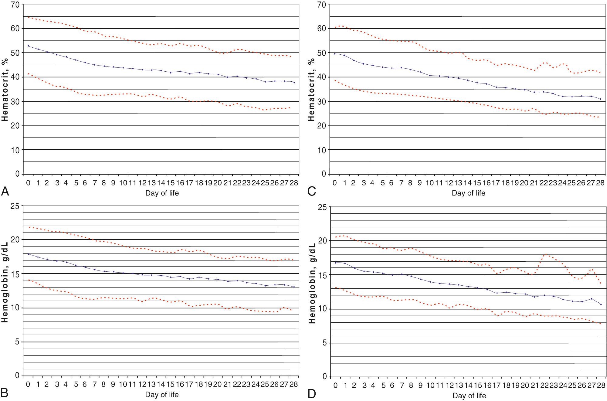
The diagnostic approach to anemia in the newborn infant begins comparing laboratory results with reference ranges for both gestational age and postnatal age. Although significant variability exists in suggested reference ranges, data collected from more than 25,000 preterm and term infants through the 1st 28 days of life have provided robust data-driven reference ranges. These data, illustrated in Fig. 124.1 , demonstrate a near-linear increase in hemoglobin and hematocrit between 22 and 40 wk of gestation. Notably, the mean corpuscular volume (MCV) in neonates is strikingly higher than toddlers and older children, with normal values ranging from about 100-115 fL at birth. An MCV <100 fL at birth should prompt consideration of underlying α-thalassemia trait or maternal iron deficiency.

Fig. 124.1, Reference range for hematocrit and hemoglobin concentration according to gestational age.

Over the first days and weeks of postnatal life, increased oxygen in the environment reduces the erythropoietic drive, and this normal developmental and physiologic process results in a slow decrease in hematocrit and hemoglobin concentration. Fig. 124.2 demonstrates the expected decrease in hematocrit and hemoglobin concentration according to postnatal age for both term/postterm ( Fig. 124.2 A and B ) and preterm (29-34 wk gestation) infants. The lower dashed lines in Fig. 124.2 represent the 5th percentile, below which a diagnosis of neonatal anemia should be defined. Eventually, oxygen delivery becomes limiting enough to stimulate new active erythropoiesis, and the hemoglobin concentration begins to rise. This physiologic nadir usually occurs between 6 and 10 wk of life for term infants, with a typical low hemoglobin value of 9-11 g/dL, while preterm infants reach their nadir earlier, at 4-8 wk of age with a hemoglobin concentration of 7-9 g/dL.

Fig. 124.2, Reference range for hematocrit and hemoglobin concentration during 1st 28 days of life.

Classification of Anemia and Diagnostic Evaluation

As with any diagnostic approach to anemia, low hemoglobin concentration in the newborn period can be classified into 3 broad categories: blood loss; erythrocyte destruction; or underproduction of erythrocytes. Table 124.1 summarizes the most common causes of neonatal anemia according to these categories.

Table 124.1
Differential Diagnosis of Neonatal Anemia
BLOOD LOSS

  • Iatrogenic blood loss (phlebotomy)

  • Placental hemorrhage

  • Placental previa

  • Injury of umbilical or placental vessels

  • Fetomaternal transfusion

  • Fetoplacental transfusion

  • Twin-twin transfusion

  • Acute perinatal hemorrhage (e.g., cesarean birth, other obstetric trauma)

  • Chronic in utero blood loss

↑ RBC DESTRUCTION
Immune-Mediated Hemolysis

  • Rh incompatibility

  • ABO incompatibility

  • Minor antigen incompatibility

RBC Membrane Disorders

  • Hereditary spherocytosis

  • Hereditary elliptocytosis

  • Hereditary pyropoikilocytosis

  • Hereditary stomatocytosis

RBC Enzyme Disorders

  • G6PD deficiency

  • Pyruvate kinase deficiency

↓ RBC PRODUCTION

  • Physiologic anemia and anemia of prematurity

  • Infection (rubella, CMV, parvovirus B19)

  • Bone marrow suppression (acute stress in perinatal period)

  • Hemoglobinopathy (γ-globin mutation, unstable β-hemoglobinopathy, α-thalassemia major)

  • Bone marrow suppression (CMV, EBV)

  • Diamond Blackfan anemia

  • Schwachman-Diamond syndrome

  • Congenital dyserythropoietic anemia

  • Fanconi anemia

  • Pearson syndrome

  • Congenital leukemia

CMV, Cytomegalovirus, EBV, Epstein-Barr virus; G6PD, glucose-6-phosphate dehydrogenase; RBC, red blood cell.

Prior to laboratory testing, a complete medical history, including careful review of the pregnancy and perinatal course, and a careful physical examination are important because they often suggest a specific diagnosis more effectively than extensive laboratory testing. A simple and efficient laboratory workup is critical to the timely diagnosis and associated treatment of neonatal anemia. In addition to a complete blood count (CBC), additional laboratory tests on the infant include the reticulocyte count, direct antiglobulin test, serum bilirubin, infant and maternal blood ABO group, and Rh type. The mother should also be screened with an indirect (serum) antiglobulin test for erythrocyte alloantibodies, and the Kleihauer-Betke test can identify fetal erythrocytes in the maternal circulation ( Fig. 124.3 ). Fig. 124.4 shows a proposed diagnostic approach to anemia in newborn infants. Hemolytic anemia is usually associated with difficult-to-treat hyperbilirubinemia ( Fig. 124.5 ), whereas congenital aregenerative anemias (e.g., Diamond-Blackfan anemia) usually do not manifest jaundice but have other features ( Table 124.2 ).

Fig. 124.3, Acid elution technique of Kleithauer (Kleihauer-Betke test).

Fig. 124.4, Diagnostic algorithm showing the approach to anemia in newborn infants.

Fig. 124.5, Evaluation of neonate with problematic jaundice of unclear cause.

Table 124.2
Syndromes Associated With Congenital Hyporegenerative Anemia
From Christensen RD: Neonatal erythrocyte disorders. In Gleason CA, Juul SE, editors: Avery's diseases of the newborn, ed 10, Philadelphia, 2018, Elsevier (Table 81-2).
SYNDROME PHENOTYPIC FEATURES GENOTYPIC FEATURES
Adenosine deaminase deficiency Autoimmune hemolytic anemia, reduced erythrocyte adenosine deaminase activity AR, 20q13.11
Congenital dyserythropoietic anemias Type I (rare): megaloblastoid erythroid hyperplasia and nuclear chromatin bridges between nuclei
Type II (most common): hereditary erythroblastic multinuclearity with positive acidified serum test result, increased lysis to anti-i antibodies
Type III: erythroblastic multinuclearity (“gigantoblasts”), macrocytosis
Type I: 15q15.1-q15.3
Type II: 20q11.2
Type III: 15q21
Diamond-Blackfan syndrome Steroid-responsive hypoplastic anemia, often macrocytic after 5 mo of age AR; sporadic mutations and AD inheritance described; 19q13.2, 8p23.3-p22
Dyskeratosis congenita Hypoproliferative anemia usually presenting between 5 and 15 yr of age X-linked recessive, locus on Xq28; some cases with AD inheritance
Fanconi syndrome Steroid-responsive hypoplastic anemia, reticulocytopenia, some macrocytic RBCs, shortened RBC life span
Cells are hypersensitive to DNA cross-linking agents.
AR, multiple genes: complementation; group A 16q24.3; group B Xp22.3; group C 9q22.3; group D2 3p25.3; group E 6p22-p21; group F 11p15; group G 9p13
Osler hemorrhagic telangiectasia syndrome Hemorrhagic anemia AD, 9q34.1
Osteopetrosis Hypoplastic anemia from marrow compression; extramedullary erythropoiesis AR, 16p13, 11q13.4-q13.5; AD, 1p21; lethal, reduced levels of osteoclasts
Pearson syndrome Hypoplastic sideroblastic anemia, marrow cell vacuolization Pleioplasmatic rearrangement of mitochondrial DNA; X-linked or AR
Peutz-Jeghers syndrome Iron-deficiency anemia from chronic blood loss AD, 19p13.3
ATR-X and ATR-16 syndromes ATR-X: hypochromic, microcytic anemia; mild form of hemoglobin H disease
ATR-16: more significant hemoglobin H disease and anemia are present.
ATR-16, 16p13.3, deletions of α-globin locus
AD, Autosomal dominant; AR, autosomal recessive; ATR-16, chromosome 16–related α-thalassemia/mental retardation; ATR-X, X-linked α-thalassemia/mental retardation; RBC, red blood cell.

Review of the peripheral blood smear is an essential component of the evaluation of neonatal anemia. The presence of reticulocytes and nucleated red blood cells (RBCs) indicate chronic anemia with compensatory active erythropoiesis, while distinct erythrocyte morphologies (e.g., elliptocytes, acanthocytes) suggest a congenital intrinsic hemolytic anemia. The presence of spherocytes (often microspherocytes ) is consistent with immune-mediated hemolysis but can also indicate hereditary spherocytosis ; the direct antiglobulin test (DAT, formerly the direct Coombs test) is needed to distinguish these 2 important diagnoses ( Fig. 124.6 ). Neonatal blood smears often include atypical erythrocyte morphology with macrocytosis, poikilocytosis, and anisocytosis that reflect normal fetal erythropoiesis, and an experienced hematologist or pathologist may be required to identify a pathologic feature ( Table 124.3 ) (see Chapter 474 ).

Fig. 124.6, Microspherocytes.

Table 124.3
Morphologic Abnormalities of Erythrocytes From Neonates With Jaundice
From Christensen RD, Yaish HM: Hemolytic disorders causing severe neonatal hyperbilirubinemia, Clin Perinatol 42:515–527, 2015 (Table 3).
ABNORMAL ERYTHROCYTE MORPHOLOGY MOST LIKELY CAUSES SUGGESTED LABORATORY TESTING/FINDINGS OTHER FEATURES
Microspherocytes Hereditary spherocytosis DAT (−)
EMA flow (+)
Persistent spherocytosis
Reticulocytosis
MCHC/MCV elevated (>36, likely >40)
ABO hemolytic disease DAT (+)
Transient spherocytosis
Reticulocytosis
MCHC/MCV normal (<36, likely <34)
Elliptocytes Hereditary elliptocytosis DAT (−) MCHC normal
MCV normal
Bite and blister cells G6PD deficiency G6PD enzyme activity Typically affects males, but rarely females are also affected
Ethnicity of equatorial origin
Unstable hemoglobin Heinz body preparation
Echinocytes PK deficiency PK enzyme activity Autosomal recessive, likely to have no family history
Other glycolytic enzyme deficiency Quantify activity of other glycolytic enzymes
Schistocytes DIC and/or perinatal asphyxia
Heinz body HA
Low levels of FV and FVIII, elevated levels of D-dimers
Positive result of Heinz body preparation
Low or falling platelet count
Normal to high IPF
Normal to high MPV DIC, perinatal asphyxia
ADAMTS-13 deficiency, early neonatal HUS, and giant hemangiomas all involve platelet consumption from endothelial injury and all have a similar neonatal presentation
ADAMTS-13 deficiency (TTP) Severely decreased ADAMTS-13 activity (<0.1 U/mL) high levels of LDH
Neonatal hemolytic-uremic syndrome Acute renal failure
Homozygous protein C deficiency Severely decreased functional protein C activity (<1%)
Giant hemangioma May be internal or external
DAT, Direct antiglobulin test; DIC, disseminated intravascular coagulation; EMA, eosin 5-maleimide; FV, factor V; FVIII, factor VIII; G6PD, glucose-6-phosphate dehydrogenase; HA, hemolytic anemia; HUS, hemolytic uremic syndrome; IPF, immature platelet fraction; LDH, lactic dehydrogenase; MCHC, mean corpuscular hemoglobin concentration; MCV, mean corpuscular volume; MPV, mean platelet volume; PK, pyruvate kinase; TTP, thrombotic thrombocytopenic purpura.

Red Blood Cell Loss

Blood loss is the most common cause of neonatal anemia. Repeated or frequent phlebotomy for routine laboratory tests, especially from premature or acutely ill neonates, is one of the most common causes of anemia. Several reports have documented large volumes of blood removed for laboratory testing among children in neonatal intensive care units (NICUs), with weekly phlebotomy volumes ranging from 15–30% of the infant's total blood volume (11-22 mL/kg/wk). Most other causes of blood loss occur just before or during delivery, such as placental abruption, and fetal hemorrhage is more common in emergent or traumatic deliveries (see Table 124.1 ).

Fetomaternal hemorrhage (FMH) is caused by bleeding from the fetal into the maternal circulation, either before or during delivery. Such bleeding occurs to some extent in most pregnancies, although the volume lost is typically small. Estimates suggest that more substantial FMH, defined as >30 mL of fetal blood, occurs in 3 per 1,000 births, with large (>80 mL) or massive (>150 mL) FMH occurring in 0.9 and 0.2 per 1,000 births, respectively. Blood loss during gestation can be slow and well compensated by the fetus in terms of both blood volume and oxygen delivery, but faster or larger bleeds will not be fully compensated. Therefore the presentation of FMH is variable, but decreased or absent fetal movement is the most common antenatal presentation and should be associated with a high degree of clinical suspicion. After delivery, infant pallor, hypotension, and poor perfusion will indicate severe anemia. To diagnose FMH, the classic Kleihauer-Betke test, which identifies fetal erythrocytes containing HbF resistant to acid elution, is technically the gold standard but is labor intensive, highly dependent on the skills of the technician, and often not available as a rapid or point-of-care test (see Fig. 124.3 ). Some advanced laboratories offer a more precise test using flow cytometry to quantify fetal cells in the maternal circulation.

Red Blood Cell Destruction

RBC destruction is an important cause of neonatal anemia and most frequently reflects elimination of erythrocytes by immune-mediated mechanisms, which result from RBC antigen incompatibilities between the infant and mother. Hemolytic disease of the fetus and newborn (HDFN) is a broad term used to describe any fetus or infant who develops alloimmune hemolysis caused by the presence of maternal antibodies against RBC antigens within the circulation of the child (see Chapter 124.2 ). HDFN caused by anti-RhD antibodies, occurring in RhD-positive infants born to RhD-negative mothers, is the most severe form because of the highly immunogenic nature of the RhD antigen. ABO incompatibility, most often a mismatch between group O mothers and their non–group O infants, affects approximately 15% of pregnancies but is usually less severe than Rh disease, with only 4% of incompatible pregnancies resulting in neonatal hemolytic disease. Unlike Rh disease, in which sensitization usually occurs in the first pregnancy and HDFN occurs in subsequent pregnancies, ABO incompatibility can occur during a woman's first pregnancy, since group O mothers have naturally occurring anti-A and anti-B antibodies. A positive DAT on the infant's blood and a positive indirect antiglobulin test (IAT; also known as the antibody screen) in the mother provide diagnostic evidence of HDFN.

In addition to immune-mediated mechanisms of erythrocyte destruction, congenital RBC enzyme and membrane disorders also can result in hemolytic anemia and jaundice within the neonatal period. The erythrocyte membrane is a complex structure with numerous critical proteins and lipids that result in a durable, flexible, circulating biconcave disc shape. Genetic deficiencies or abnormalities in RBC membrane proteins (e.g., ankyrin, band 3, α-spectrin, β-spectrin, protein 4.2) result in instability of the RBC membrane, decreased cellular deformability, and shape changes; the abnormal erythrocytes undergo splenic entrapment and removal by macrophages. Hereditary spherocytosis (HS) , an autosomal dominant condition characterized by spherical erythrocytes, is the most common RBC membrane disorder, affecting 1 in 2,500-5,000 individuals of European descent. Nearly half of infants born with HS will develop jaundice early in the newborn period.

Hereditary elliptocytosis (HE) , another autosomal dominant inherited erythrocyte membranopathy, characterized by elliptical-shaped erythrocytes, is a less common and less severe RBC membrane disorder. In contrast, hereditary pyropoikilocytosis (HPP) is an autosomal recessive RBC membrane disorder resulting in striking morphologic shape changes (poikilocytosis) noted on the peripheral blood smear, some of which resemble thermally damaged erythrocytes. HPP is most common in infants of African descent and can be associated with severe anemia and hemolysis in the newborn period. There is substantial clinical and genetic overlap between HPP and HE, because infants with HPP often have a family history of HE and may develop a milder condition resembling HE later in childhood. Clinical suspicion for a RBC membranopathy begins with a positive family history of hemolytic anemia, especially in an infant who develops early jaundice in the 1st 24 hr of life. The diagnostic evaluation should include a negative DAT, indirect hyperbilirubinemia, and hallmark features noted on the peripheral blood smear. The degree of anemia is variable, and reticulocytosis may also be present.

Erythrocyte enzymopathies are another important, but less common, etiology of neonatal anemia. Circulating RBCs lack a nucleus, mitochondria, or other essential organelles and thus rely solely on critical metabolic pathways to allow for their function in the transport and delivery of oxygen. Several enzymes are especially important to RBC metabolism and may result in hemolytic anemia when deficient. Glucose-6-phosphate dehydrogenase (G6PD) deficiency is the most common of these RBC enzymopathies. G6PD deficiency is a common X-linked disorder affecting >400 million people worldwide. There are several classes of G6PD deficiency with varying degrees of clinical severity, but most affected persons are asymptomatic. In the setting of oxidative stress (drugs, infection, certain foods), however, some persons with G6PD deficiency may develop acute hemolytic anemia. There is a several-fold increase in the incidence of neonatal jaundice in G6PD-deficient infants, with jaundice typically occurring on day 2-3 of life. Severe anemia with reticulocytosis is not common, but hyperbilirubinemia in the setting of G6PD deficiency can be severe and prolonged. Clinical testing measuring G6PD activity can be performed (<1–2% suggests G6PD deficiency), but the testing will not be accurate in the setting of acute hemolysis or an elevated reticulocyte count, because reticulocytes have higher enzyme activity. Pyruvate kinase (PK) deficiency is the 2nd most common RBC enzymopathy and may also be associated with neonatal jaundice and bizarre morphology featuring acanthocytes.

Red Blood Cell Production

RBC underproduction is also common in the neonate, particularly among preterm infants. Because of relative polycythemia and the physiologic right shift in the oxyhemoglobin dissociation curve, there is typically sufficient oxygen delivery to the tissues during the 1st weeks of postuterine life. The erythropoietic drive is thus limited, and active erythropoiesis does not commence until the 2nd mo of life. This physiologic underproduction of erythrocytes appears to be prolonged in preterm infants and results in a steeper physiologic nadir referred to as anemia of prematurity . Anemia of prematurity is exacerbated by acute illness, frequent phlebotomy, and other comorbidities observed in premature infants.

In addition to physiologic underproduction of erythrocytes, several acquired and congenital conditions may further suppress bone marrow production (see Table 124.2 ). Both bacterial and viral infections may result in suppression of erythropoiesis and contribute to neonatal anemia; infectious etiologies are numerous but TORCH infections and parvovirus B19 are the most common. Tables 124.1 and 124.2 list congenital causes of neonatal anemia, including congenital leukemia, bone marrow failure syndromes (Fanconi anemia, Schwachman-Diamond syndrome), Diamond-Blackfan anemia), and variants in γ-globin, β-globin, or α-globin. Notably, common β-hemoglobinopathies such as sickle cell disease and thalassemia do not present in the neonatal period, as a result of the protective effect of high levels of HbF in the first few months of life.

Treatment Options for Neonatal Anemia

Packed Red Blood Cell Transfusions

Treatment of neonatal anemia by blood transfusion depends on the severity of symptoms, the hemoglobin concentration, and the presence of comorbidities (e.g., bronchopulmonary dysplasia, cyanotic congenital heart disease, respiratory distress syndrome) that interfere with oxygen delivery. The benefits of blood transfusion should be balanced against its risks, which include hemolytic and nonhemolytic reactions; exposure to blood product preservatives and toxins; volume overload; possible increased risk of retinopathy of prematurity and necrotizing enterocolitis; graft-versus-host reaction; and transfusion-acquired infections such as cytomegalovirus (CMV), HIV, parvovirus, and hepatitis B and C (see Chapter 501 ). The frequency of transfusion for neonates in the NICU is high, particularly among premature and very-low-birthweight (VLBW) infants.

Few studies have evaluated the efficacy or safety of specific hemoglobin/hematocrit thresholds, but a Cochrane review summarized the available evidence and proposed guidelines for transfusion of VLBW infants. The review identified 4 trials comparing restrictive (lower) to liberal (higher) hemoglobin thresholds. There were no statistically significant differences in death or serious morbidity, and the restrictive thresholds modestly reduced exposure to blood products. Evidence was inconclusive, however, regarding the effectiveness of either threshold in optimizing long-term neurocognitive outcomes. The proposed guideline for the transfusion of neonates was based primarily on postnatal age and the presence or absence of respiratory support ( Table 124.4 ). In addition to these factors, transfusion should be considered for infants with acute blood loss (>20%) or significant hemolysis, as well as before surgery. With no similar evidence-based guidelines for term infants, transfusion should be based on hemodynamic stability, respiratory status, overall clinical condition, and laboratory values.

Table 124.4
Suggested Transfusion Thresholds
POSTNATAL AGE PRESENCE OF RESPIRATORY SUPPORT ABSENCE OF RESPIRATORY SUPPORT
Hemoglobin Concentration, g/dL (Hematocrit %)
Week 1 11.5 (35%) 10.0 (30%)
Week 2 10.0 (30%) 8.5 (25%)
Week 3 8.5 (25%) 7.5 (23%)

When the decision to transfuse has been made, the appropriate blood product should be selected and a safe volume of blood should be transfused at a safe rate. It is important to transfuse packed erythrocytes (PRBCs) to all neonates in the form of leukocyte-reduced or CMV-seronegative PRBCs, to reduce the risk of CMV transmission. Irradiation of PRBCs removes the risk of transfusion-associated graft-versus-host disease (GVHD) but does not eliminate the risk of CMV transmission. The volume of transfusion should achieve the intended therapeutic goal while limiting blood product exposure. Typical transfusion protocols choose a transfusion volume ranging from 10-20 mL/kg. There are no clear data to favor a specific amount, but lower volumes exposure infants to risks unnecessarily while higher volumes may cause fluid overload. One logical goal is to target a specific goal hemoglobin (Hb) concentration. The following commonly used shorthand equation can provide a good estimate of required blood volume, which usually results in a transfusion volume within the 10-20 mL/kg range:


PRBC transfusion volume = ( Desired Hb [ g / dL ] Actual Hb ) × Weight ( kg ) × 3

Transfusion of PRBCs is typically delivered at a rate of 3-5 mL/kg/hr, with a slower rate preferred for very small, acutely ill infants with a tenuous fluid status. Each transfusion should be completed within 4 hours.

Erythropoietin

Because of the low physiologic levels of erythropoietin in neonates, the role of recombinant human erythropoietin ( rhEPO ) has been investigated for the treatment of anemia in neonates, particularly VLBW infants. A Cochrane review documented that rhEPO is associated with a significant reduction in the number of blood transfusions per infant, but also a significantly increased risk of retinopathy of prematurity. There were no differences in mortality or other neonatal morbidities among infants who did or did not receive rhEPO. Because of these limited benefits and potential serious risks of early rhEPO therapy, there is currently no strong indication for the routine use of rhEPO in infants with anemia, although it should be considered in individual settings.

Bibliography

  • Aher S, Ohlsson A: Late erythropoietin for preventing red blood cell transfusion in preterm and/or low birth weight infants. Cochrane Database Syst Rev 2014; CD004868
  • Andersson O, Hellström-Westas L, Andersson D, et. al.: Effect of delayed versus early umbilical cord clamping on neonatal outcomes and iron status at 4 months: a randomized controlled trial. BMJ 2011; 343: pp. d7157.
  • Bizzarro MJ, Colson E, Ehrenkranz RA: Differential diagnosis and management of anemia in the newborn. Pediatr Clin North Am 2004; 51: pp. 1087-1107.
  • Bromiker R, Kasinetz Y, Kaplan M, et. al.: Sucking improvement following blood transfusion for anemia of prematurity. Arch Pediatr Adolesc Med 2012; 166: pp. 897-901.
  • Christensen RD, Henry E: Hereditary spherocytosis on neonates with hyperbilirubinemia. Pediatrics 2010; 125: pp. 120-125.
  • Christensen RD, Jopling HE, Jopling J, Wiedmeir SE: The CBC: reference ranges for neonates. Semin Perinatol 2009; 33: pp. 3-11.
  • Ferguson D, Hébert PC, Hogan DL, et. al.: Effect of fresh red blood cell transfusions on clinical outcomes in premature, very low-birth-weight infants. JAMA 2012; 308: pp. 1443-1450.
  • Finn PH, Halvosen S: Regulation of erythropoiesis in the fetus and newborn. Arch Dis Child 1972; 47: pp. 683-687.
  • Jopling J, Henry E, Wiedmeir SE, Christensen RD: Reference ranges for hematocrit and blood hemoglobin concentration during the neonatal period: data from a multihospital health care system. Pediatrics 2009; 123: pp. e333-e337.
  • Katheria AC, Truong G, Cousins L, et. al.: Umbilical cord milking versus delayed cord clamping in preterm infants. Pediatrics 2015; 136: pp. 61-69.
  • Kc A, Rana N, Malqvist M, et. al.: Effects of delayed umbilical cord clamping vs early clamping on anemia in infants at 8 and 12 months: a randomized clinical trial. JAMA Pediatr 2017; 171: pp. 264-270.
  • Koelewijn JM, de Haas M, Vrijkotte TG, et. al.: One single dose of 200 µg of antenatal RhIG halves the risk of anti-D immunization and hemolytic disease of the fetus and newborn in the next pregnancy. Transfusion 2008; 48: pp. 1721.
  • Ohls RK, Roohi M, Peceny HM, et. al.: A randomized, masked study of weekly erythropoietin dosing in preterm infants. J Pediatr 2012; 160: pp. 790-795.
  • Ohlsson A, Aher SM: Early erythropoiesis-stimulating agents in preterm and/or low birth weight infants. Cochrane Database Syst Rev 2017; CD004863
  • Rabe H, Reynolds G, Diaz-Rossello J: Early versus delayed umbilical cord clamping in preterm infants. Cochrane Database Syst Rev 2004; CD003248
  • Raju TNK, Singhal N: Optimal timing for clamping the umbilical cord after birth. Clin Perinatol 2012; 39: pp. 889-900.
  • Raju TNK: Timing of umbilical cord clamping after birth for optimizing placental transfusion. Curr Opin Pediatr 2013; 25: pp. 180-187.
  • Steiner LA, Gallagher PG: Erythrocyte disorders in the perinatal period. Semin Perinatol 2007; 31: pp. 254-261.
  • Warwood TL, Lambert DK, Henry E, et. al.: Very low birth weight infants qualifying for a ‘late’ erythrocyte transfusion: does giving darbepoetin along with the transfusion counteract the transfusion's erythropoietic suppression?. J Perinatol 2011; pp. S17-S21.
  • Whyte R, Kirpalani H: Low versus high haemoglobin concentration threshold for blood transfusion for preventing morbidity and mortality in very low birth weight infants. Corhrane Database Syst Rev 2011; CD00512
  • Wildness JA: Pathophysiology of anemia during the neonatal period, including anemia of prematurity. Neoreviews 2008; 9: pp. e520.
  • Wylie BJ, D'Alton ME: Fetomaternal hemorrhage. Obstet Gynecol 2010; 115: pp. 1039-1051.

Hemolytic Disease of the Fetus and Newborn

Omar Niss
Russell E. Ware

Keywords

  • exchange transfusion

  • fetal anemia

  • hemolytic anemia

  • intrauterine transfusion

  • Rh alloimmunization

Hemolytic disease of the fetus and newborn ( HDFN ), also known as erythroblastosis fetalis , is caused by the transplacental passage of maternal antibodies directed against paternally derived red blood cell (RBC) antigens, which causes increased RBC destruction (hemolysis) in the infant. HDFN is an important cause of anemia and jaundice in newborn infants, and early recognition and diagnosis are crucial for proper management. Although more than 60 different RBC antigens are capable of eliciting a maternal antibody response, clinically significant disease is associated primarily with incompatibility of ABO blood groups and the RhD antigen . Less frequently, hemolytic disease may be caused by differences in other antigens of the Rh system or by other RBC antigens such as C W , C X , D U , K ( Kell ), M, Duffy, S, P, MNS, Xg, Lutheran, Diego, and Kidd. Notably, anti-Lewis maternal antibodies rarely cause HDFN.

Hemolytic Disease Caused by Rh Incompatibility

The Rh antigenic determinants are genetically transmitted from each parent and determine the Rh blood type by directing the production of Rh proteins (C, c, D, E, and e) on the RBC surface. RhD is responsible for 90% of HDFN cases involving the Rh antigen system, but other Rh antigens (especially E and c) also can be etiologic.

Pathogenesis

Alloimmune hemolytic disease from RhD antigen incompatibility is approximately 3 times more common among whites than among blacks, because of differences in Rh allele frequency. Approximately 85% of Caucasians express RhD antigen ( Rh-positive ), whereas 99% of persons from Africa or Asia are Rh-positive. When Rh-positive blood is infused into an unsensitized Rh-negative woman, antibody formation against the mismatched Rh antigen is induced in the recipient. This can occur through transfusion, but the typical scenario is when small quantities (usually >1 mL) of Rh-positive fetal blood, inherited from an Rh-positive father, enter the maternal circulation during pregnancy, through spontaneous or induced abortion, or at delivery. Once sensitization has occurred, considerably smaller doses of antigen can stimulate an increase in antibody titer. Initially, a rise in immunoglobulin (Ig) M antibody occurs, which is later replaced by IgG antibody. Unlike IgM antibodies, IgG readily crosses the placenta to cause hemolytic manifestations.

HDFN requires Rh-antigen mismatch between the infant and the mother, with prior maternal exposure to RBCs expressing the cognate antigen. Hemolytic disease rarely occurs during a first pregnancy because transfusion of Rh-positive fetal blood into an Rh-negative mother usually occurs near the time of delivery, which is too late for the mother to become sensitized and transmit antibody to that infant before delivery. However, fetal-to-maternal transfusion is thought to occur in only 50% of pregnancies, so Rh incompatibility does not always lead to Rh sensitization. Another important factor is the allele frequency of the RhD antigen because homozygous Rh-positive fathers must transmit the antigen to the fetus, whereas heterozygous fathers have only a 50% chance of having Rh-positive offspring. A smaller family size also reduces the risk of sensitization.

The outcome for Rh-incompatible fetuses varies greatly, depending on the characteristics of both the RBC antigen and the maternal antibodies. Not all maternal-fetal antigen incompatibility leads to alloimmunization and hemolysis. Factors that affect the outcome of antigen-positive fetuses include differential immunogenicity of blood group antigens (RhD antigen being the most immunogenic), a threshold effect of fetomaternal transfusions (a certain amount of the immunizing blood cell antigen is required to induce the maternal immune response), the type of antibody response (IgG antibodies are more efficiently transferred across the placenta to the fetus), and differences in the maternal immune response, presumably related to differences in the efficiency of antigen presentation by various major histocompatibility complex (MHC) loci.

Notably, when the mother and fetus are also ABO incompatible, the Rh-negative mother is partially protected against sensitization due to rapid removal of the fetal Rh-positive cells by maternal isohemagglutinins (preexisting IgM anti-A or anti-B antibodies that do not cross the placenta). Once a mother has been sensitized, all subsequent infants expressing that cognate antigen on RBCs are at risk for HDFN. The severity of Rh illness typically worsens with successive pregnancies because of repeated immune stimulation. The likelihood that Rh sensitization affects a mother's childbearing potential argues urgently for the prevention of sensitization. The injection of anti-Rh immune globulin (RhoGAM) into the Rh-negative mother, both during pregnancy and immediately after the delivery of each Rh-positive infant, reduces HDFN caused by RhD alloimmunization.

You're Reading a Preview

Become a Clinical Tree membership for Full access and enjoy Unlimited articles

Become membership

If you are a member. Log in here