Pathophysiology: General Principles


Hypoxic-ischemic encephalopathy (HIE) in the perinatal period represents an important portion of neonatal neurology. To understand the features of HIE, which are discussed extensively in this unit, it is necessary to be cognizant of the physiological and biochemical derangements that lead to the structural and functional manifestations of this encephalopathy. In this chapter, we first deal with the major modes of cell death in the setting of hypoxic-ischemic injury. We then review the fundamental derangements in cerebral blood flow (CBF) and energy metabolism, on a background of the normal cerebral circulation and biochemistry of the perinatal brain. Much of what we know is based on experimental data, but translational data in humans with neuroimaging support these concepts (see later). The subsequent effects of these derangements in CBF and energy metabolism, via excitatory, oxidative, and inflammatory pathways, will then be discussed. These insights will form the foundation for reviewing approaches to neuroprotection in the term and premature brain in relation to hypoxic-ischemic injury. The applications of these principles and their related neuropathologies in the setting of the preterm and term infant’s brain will be discussed in more detail in the later chapters within this unit (see Chapter 17, Chapter 18, Chapter 19, Chapter 20, Chapter 22 ).

DEFINITIONS

It is important to review the key definitions that will be used in this chapter and unit. Hypoxemia refers to lack of oxygen within the circulation and at the cellular level. Ischemia refers to insufficient organ perfusion—specifically in this setting, insufficient CBF. This deficit will usually be associated with concurrent hypoxia at the cellular level. The term hypoxic-ischemic injury is often used because of the intimate connection between hypoxemia and subsequent hypotension and cerebral ischemia; this combination plays a central role mediating cerebral injury in the newborn infant. Finally, by strict definition, asphyxia refers to impaired respiratory gas exchange leading to accumulation of waste products and thus concomitant decreased P o 2 , increased P co 2 , and metabolic acidosis. Asphyxia is associated with complex changes in CBF. Both mild to moderate falls in P o 2 and increased P co 2 promote enhanced CBF ( Fig. 16.1 ) that helps to maintain normal cerebral oxygen consumption and function. By contrast, severe hypoxemia ultimately leads to cardiovascular compromise, with hypotension and hypoperfusion of vital organs ( Fig. 16.2 ). Thus central to all mechanisms involved in asphyxial brain injury (hypoxemia, ischemia, and/or asphyxia) is cellular hypoxia and secondary deprivation of substrate .

Fig. 16.1, Sensitivity of local cerebral blood flow to arterial partial pressure of carbon dioxide (PaCO 2 ). Note that regions with the higher normocapnic blood flow exhibit the highest sensitivities to Pa co 2 .

Fig. 16.2, Major relationships between perinatal asphyxia and cerebral blood flow (CBF). Acute hypoxemia results in a chemoreflex mediated reduction in heart rate and total cardiac output, which reduces cardiac work. Blood pressure (BP) is increased by initial intense vasoconstriction. This adaptation can be maintained essentially indefinitely during moderate hypoxemia, whereas severe hypoxemia leads to a different pattern of distribution of blood flow and ultimately progressive failure of adaptations leading to hypotension and brain injury.

Finally, the terms neonatal encephalopathy and hypoxic-ischemic encephalopathy should be clarified. Neonatal encephalopathy refers to altered behavior in the newborn characteristic of a disturbance in central nervous system function. The single most common etiology of neonatal encephalopathy in term and near-term infants is hypoxic-ischemic injury. Once this etiology is established, the infant’s condition can be more specifically referred to as HIE, or an encephalopathy resulting from a hypoxic-ischemic insult.

CAUSES OF PATHOLOGICAL HYPOXIA-ISCHEMIA

The events leading to perinatal hypoxia-ischemia broadly include acute catastrophic hypoxia-ischemia (i.e., sentinel events), repeated hypoxia related to uterine contractions, and antecedent chronic hypoxia combined with acute events. Immediate, catastrophic hypoxia-ischemia (asphyxia) contributes to 25% or more of cases of HIE and can be associated with cord prolapse, placental abruption, uterine rupture, vasa previa, fetal entrapment such as shoulder dystocia, and occasional cases of cord entanglements and true knots in the cord. Placental abruption may be particularly severe, because the impact of asphyxia may be greatly potentiated by fetal blood loss, leading to earlier onset of hypotension.

Repeated but relatively short periods of deep hypoxia are associated with approximately two-thirds of cases of HIE at term. As recently reviewed, this pattern is a direct function of the inherent intermittent asphyxia during uterine contractions in labor. Intrapartum uterine contractions impair gas exchange, leading to transient fetal hypoxemia, hypercapnia, and metabolic acidemia, mediated by impaired uteroplacental perfusion during contractions and reduced placental and intervillous perfusion, leading to brief, repeated falls in fetal oxygenation. Between uterine contractions, uteroplacental perfusion recovers to baseline values, allowing partial or complete restoration of fetal oxygenation. This scenario is critically different from the persistent but relatively stable hypoxemia associated with fetal growth restriction.

Finally, approximately 10% of cases of moderate to severe neonatal encephalopathy have been reported to be associated with abnormal fetal heart rate recordings before the start of labor and so potentially may have been associated with preceding fetal compromise. Nevertheless, chronic, moderate hypoxia is not typical of labor; rather, it is an antenatal pattern. It may be secondary to low fetal hemoglobin (e.g., feto-maternal or feto-fetal hemorrhage), placental insufficiency, and maternal causes, such as preeclampsia. Studies using magnetic resonance imaging suggest that very few infants with acute HIE have established brain injury or atrophy and thus that injury occurred relatively soon before or during delivery.

THE EVOLUTION OF CEREBRAL INJURY

The key concept to emerge from both experimental and clinical studies is that brain cell death does not necessarily occur during hypoxia or ischemia (the “primary” phase of injury) but rather that hypoxia-ischemia may precipitate a cascade of biochemical processes leading to delayed cell death hours or even days afterward (the “secondary” phase; Fig. 16.3 ). It is now well established in term infants and in animal models that there can be considerable cell survival and recovery of oxidative metabolism after severe HI in a so-called latent phase, followed by progressive secondary failure of oxidative metabolism and evolution of cell death over hours to days.

Fig. 16.3, The sequence of cellular injury following acute hypoxic-ischemic injury in the immature brain, demonstra-ting the pivotal importance of energy failure and the resultant downstream effects.

The Initiating Role of Energy Failure

An understanding of the mechanism of cell death in the setting of hypoxic-ischemic injury requires appreciation of the cascade of interrelated cellular events. We will commence with the principal underpinnings of cell death related to energy depletion. In the newborn, energy depletion is most commonly the result of severe hypoxemia leading to systemic hypotension and closely linked cerebral ischemia (i.e., reduced perfusion) . In earlier years, cell death with oxygen deprivation was explained entirely by reference to the sharply decreased production of high-energy phosphates from anaerobic glycolysis ( Figs. 16.4, 16.5 , and 16.6 ), leading to impaired synthesis of macromolecules and lipids and loss of structural integrity. Several decades of research have made it clear that this explanation is too simple. Although a sufficient duration of severe hypoxia-ischemia may indeed lead to cell lysis, even after surprisingly severe events many cells will reestablish oxidative activity, only for cell death to occur well after the acute event, mediated by a cascade of events leading to both acute and delayed cell death.

Fig. 16.4, Biochemical effects of hypoxemia. Concentrations of glucose in brain, liver, and plasma of newborn mice as a function of duration of anoxia (nitrogen breathing).

Fig. 16.5, Biochemical effects of hypoxemia. Concentrations of adenosine triphosphate (ATP) , phosphocreatine (PCr) , and glycogen in brain of newborn mice as a function of duration of anoxia (nitrogen breathing).

Fig. 16.6, Biochemical effects of hypoxemia. Concentrations of lactate in brain of newborn mice as a function of duration of anoxia (nitrogen breathing).

Importance of the Reperfusion Period

As discussed in the next section, the cascade of deleterious events that lead to cell death after insults that result in oxygen deprivation and energy failure appears to occur primarily following the termination of the insult . Careful studies in animal models and in human patients provide strong support for this notion. The central implication of such “delayed” death of brain cells in the hours after termination of the insult is that intervention during the postinsult period may be beneficial. Data to support this possibility are now available. The effectiveness of postnatal neuroprotective approaches, such as therapeutic hypothermia, is discussed later.

Sequence of Cellular Injury—Primary, Latent, Secondary, and Tertiary Phases

Primary, Reperfusion, and Latent Phases

During hypoxia-ischemia itself ( which may be termed the “primary” phase of the insult ) high-energy metabolites are depleted, with progressive depolarization of cells, severe cytotoxic edema (i.e., cell swelling; Fig. 16.7 ), and extracellular accumulation of excitatory amino acids, owing to failure of reuptake by astroglia and excessive depolarization-mediated release. Hypoxia-ischemia is ultimately terminated by restoration of oxygenation, followed by recovery of blood pressure and perfusion. It is important to note that this reperfusion is not instantaneous; after moderate to severe hypoxia-ischemia, this phase may last approximately 30 to 60 minutes, as cellular energy metabolism is progressively restored, with progressive resolution of cell swelling, in parallel.

Fig. 16.7, Cellular histological images of necrotic and apoptotic cell death.

Although neurons may die during a sufficiently prolonged period of severe hypoxia-ischemia, many neurons initially recover, at least partially, from the insult in a so-called latent phase , only to die many hours or even days later ( secondary or delayed cell death ). Studies using magnetic resonance spectroscopy showed that many infants with evidence of moderate to severe asphyxia show initial, transient recovery of cerebral oxidative metabolism after birth, followed by secondary deterioration, as shown by delayed cerebral energy failure from 6 to 15 hours after birth. The severity of the secondary deterioration was closely correlated with neurodevelopmental outcome at 1 and 4 years of age, and infants with encephalopathy who did not show initial recovery of cerebral oxidative metabolism had extremely poor outcomes.

An identical pattern of initial recovery of cerebral oxidative metabolism followed by delayed (secondary) energy failure is also seen after hypoxia-ischemia in the piglet, rat, and fetal sheep and is closely correlated to the severity of neuronal injury. The timing of energy failure after hypoxia-ischemia is tightly coupled with the appearance of histological brain damage , implying that the energy failure is primarily a function of evolving cell death .

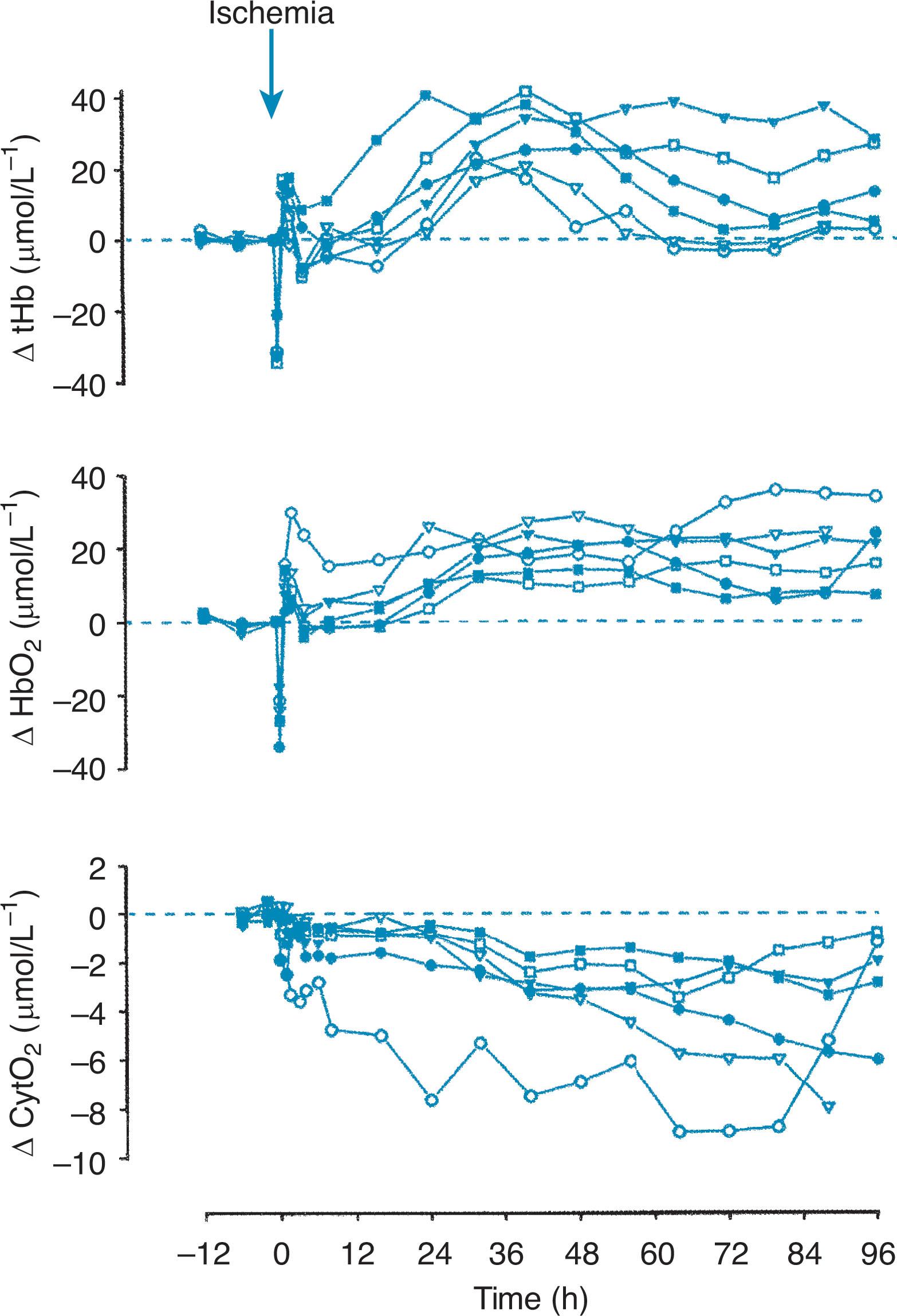
It is this delay before secondary deterioration in a “latent” phase that offered the tantalizing possibility that therapeutic intervention after hypoxia-ischemia might be possible. More recent studies have provided a detailed time course of the evolution of injury. Because oxidative synthesis of adenosine triphosphate (ATP) is mediated through the mitochondrial electron transport chain, loss of the terminal electron acceptor cytochrome oxidase is a close surrogate for mitochondrial failure and loss of ability to produce high-energy phosphates. Continuous, noninvasive measurements with near-infrared spectroscopy demonstrate that after severe asphyxia in fetal sheep there is initial recovery of cytochrome oxidase values, followed by a progressive fall, starting from approximately 3 to 4 hours and continuing until approximately 48 to 72 hours after asphyxia. Delayed loss of mitochondrial activity was associated with a marked increase in relative intracerebral oxygenation consistent with impaired ability to use oxygen ( Fig. 16.8 ).

Fig. 16.8, Cerebral hemodynamic changes after transient cerebral ischemia in the late-gestation fetal lamb. Changes in total cerebral hemoglobin (tHb) , oxygenated hemoglobin (HbO 2 ) , and cytochrome oxidase (CytO 2 ) were measured by near-infrared spectroscopy. In each graph, different symbols represent data from separate fetuses. Note the two phases of cerebral vasodilation and increased cerebral blood flow, as assessed by the hemoglobin signals; the early increase occurs in the first 2 to 3 hours after ischemia, and the delayed increase occurs from 12 to 48 hours. The delayed increase in flow is accompanied by a decline in CytO 2 , consistent with impaired mitochondrial oxygenation.

Characteristic pathophysiological changes may be distinguished during this critical latent phase compared with the secondary phase (see Fig. 16.3 ). After restoration of circulation and oxygenation the initial hypoxia-induced impairments of cerebral oxidative metabolism, cytotoxic edema, and accumulation of excitatory amino acids resolve over approximately 30 to 60 minutes. Despite normalization of oxidative cerebral energy metabolism and mitochondrial activity, mean electroencephalogram (EEG) activity remains depressed, and CBF initially recovers, followed by a transient secondary fall. During the subsequent secondary deterioration, starting many hours later (typically approximately 6 to 15 hours after moderate to severe hypoxia-ischemia), delayed seizures develop and then continue for several days, accompanied by secondary cytotoxic edema (cell swelling), accumulation of excitotoxins, failure of cerebral mitochondrial activity, with hyperemia (“luxury perfusion” in excess of tissue requirements; a clinical example is shown in Fig. 16.9 ) and, ultimately, cell death. In contrast, secondary edema and seizures are not seen after milder insults that do not cause cortical necrosis.

Fig. 16.9, An asphyxiated newborn treated with hypothermia showing basal ganglia injury on magnetic resonance imaging (MRI) obtained on day 2 of life. (A), Cerebral blood flow map obtained by pseudocontinuous arterial spin labeling (pCASL) , showing higher perfusion (arrows) in the bilateral thalami and, to a lesser extent, in the bilateral posterior limb of internal capsule and lentiform nuclei. (B) Apparent diffusion coefficient map showing restricted diffusion (arrows) within the same areas. (C) Axial T2-weighted image; changes of T2-weighted images are subtle.

It is important to appreciate that the severity of hypoxia-ischemia markedly affects the speed of evolution of cell death . For example, in 21-day-old rat pups (broadly equivalent to late infancy in humans), 15 minutes of hypoxia-ischemia was associated with selective neuronal death in an apoptotic morphology from 3 days after hypoxia. By contrast, after 60 minutes of hypoxia-ischemia, some cells showed DNA degradation by 10 hours after hypoxia, and widespread cortical necrosis developed after 24 hours. Moreover, as well as evolving over time, cell death spreads outward from the most severely affected regions toward less severely affected regions. In piglets exposed to transient hypoxia-ischemia, the cerebral apparent diffusion coefficients normalized almost completely by 2 hours after resuscitation, followed in the majority of animals by a fall in apparent diffusion coefficients beginning in the parasagittal cortex and then spreading through the brain. This pattern likely reflects both severity of injury and active mechanisms, including opening of astrocytic connexin hemichannels on the cell surface, which can facilitate waves of spreading depression that can trigger cell death in less injured tissues.

Secondary and Tertiary Phases

The secondary phase evolves over ~3 days after severe hypoxia-ischemia into a tertiary phase of ongoing injury but also repair and reorganization, which may last weeks to months and even years (see Chapter 23 ). Chronic inflammation and epigenetic changes lasting for weeks to months after injury may impair optimal neurorepair and functional recovery. However, targeted interventions could potentially ameliorate outcomes in this very prolonged phase of recovery (see Chapters 23 and 24 ).

Modes of Cell Death—Necrosis, Apoptosis, and Autophagy

Before defining the underlying biochemical and physiological principles that determine cell death in the immature central nervous system, it is important to delineate the major modes of cell death and key factors leading to cell death, including necrosis, apoptosis, autophagy, pyroptosis , and necroptosis (see Fig. 16.7 ). It is now clear that hypoxic-ischemic insults may lead to necrosis or apoptosis or more commonly a continuum, dependent principally on the severity of the insult and the maturational state of the cell. Certain characteristics readily distinguish these two forms of cell death ( Table 16.1 ). Thus necrotic cell death, which occurs during the primary phase of injury , is characterized by cell swelling, membrane disintegration, cell rupture, release of intracellular contents, and, as a consequence, inflammation and phagocytosis. By contrast, apoptosis is prevalent during the secondary phase of injury and is characterized by condensation and margination of chromatin, cell shrinkage, and relative preservation of cellular membranes. Physiological apoptosis is difficult to detect in tissues because of the lack of inflammation and the rapid removal of the cell debris. By contrast, after hypoxia-ischemia it is often associated with secondary inflammation, likely reflecting the speed and magnitude of cell death.

TABLE 16.1
Necrosis and Apoptosis: Distinguishing Characteristics a
DISTINGUISHING FEATURE NECROSIS APOPTOSIS
Morphology Cell swelling; dispersed chromatin; membrane fragmentation; inflammatory responses Cell shrinkage; chromatin condensation; intact membranes; no inflammation
DNA fragmentation Nonspecific Specific oligonucleosomal cleavage
Involvement of specific death genes/enzymes (e.g., Bax, Bid, p53, AIF, PARP, cytochrome c, caspases) No Yes
Adenosine triphosphate required No Yes
Protein synthesis required No Yes
Temporal characteristics Usually rapid (minutes to hours) Slow (hours to days)
Insult characteristics More severe Less severe

a See text for references.

Apoptosis may be subdivided into the intrinsic pathway , mediated by mitochondrial dysfunction in a period of secondary energy failure after HIE, or an extrinsic pathway by death receptor activation. An increase in calcium entry during the primary phase, in part mediated by depolarization and augmented by excitotoxicity and oxygen free radical production, activates intracellular signaling pathways that result in cell death (see Fig. 16.3 ). Extrinsic signals activate death receptors, leading to pathways that activate B-cell lymphoma (BCL)-2 and downstream Bcl-2 homologous antagonist (BAK)1, resulting in mitochondrial outer membrane permeabilization and pore formation. Leakage of proapoptotic proteins, such as cytochrome c, apoptosis-inducing factor (AIF), and caspases, leads to formation of the apoptosome and caspase-3 activation and caspase-dependent cell death. In caspase-independent cell death, AIF translocates to the nucleus and fragments DNA and condenses chromatin. Sex-based differences may modulate cell death mechanisms in response to injury and treatment. For example, in neonatal rodents, hypoxia-ischemia seems to be associated with greater dependence on caspase-dependent cell death pathways, including higher caspase-3 expression in females than in males.

Apoptotic cell death appears to be the dominant form of so-called delayed cell death , observable after many hours to several days in various experimental neonatal models and human brain. Important intrinsic properties of the cell itself determine the mode of cell death, relating particularly to the developmental stage of the cell. Thus the susceptibility to apoptosis is enhanced in immature versus mature neurons in vitro and in vivo. Apoptotic cell death was noted to be common in a study of infants who died after intrauterine hypoxia-ischemia (see Chapter 22 ). Moreover, careful studies in the neonatal piglet subjected to hypoxia-ischemia demonstrated exclusively necrotic cell death in certain neuronal populations, both necrosis and apoptosis in other neuronal populations, but exclusively apoptotic cell death in immature cerebral white matter. Indeed, in many models, electron microscopic study reveals an apoptotic-necrotic continuum in neuronal regions, with clearly apoptotic and necrotic cells present, as well as hybrid cells with “intermediate” characteristics. Even very delayed cell death may involve programmed cell death through apoptotic or necrotic pathways.

More recent attention has been paid to other forms of neurodegeneration in the developing brain , which have been termed “pathological apoptosis” and excitotoxic neurodegeneration. Because this process rests on a continuum between necrosis and apoptosis, it has also been titled “necroptosis.” The important contribution of these regulated but morphologically hybrid forms of cell death to hypoxic-ischemic injury in the newborn brain is emerging.

These regulated forms of cell death are good examples of molecular switching between apoptotic and necrotic modes of cell death. Coexpression of markers for both apoptosis and necrosis are seen in the injured forebrain following hypoxia-ischemia in neonatal rats. Necroptosis is initiated by receptor-interacting serine/threonine-protein kinase 1 (RIP1), RIP3, and mixed-lineage kinase domain-like protein (MLKL). Necrostatin is an inhibitor of RIP1 kinase and in neonatal hypoxia-ischemia shifted cell death from necrotic to apoptotic pathways, indicating the importance of RIP1. Following hypoxia-ischemia in P7 rats and immediate treatment with necrostatin, no demonstrable neuroprotection was seen at 24 hours, but long-lasting neuroprotection was demonstrated at 4 days and 3 weeks after hypoxia-ischemia. It is becoming clearer that extremely delayed programmed necrosis contributes to injury progression and may influence the outcome of treatment.

Pyroptosis is a distinct form of programmed cell death that depends on either caspase-1 or caspase-11 activation. Caspase-1 may be activated via activation of nucleotide-binding oligomerization domain–containing, leucine rich repeat– and pyrin domain–containing proteins after hypoxia-ischemia, and the effector protein gasdermin D (GSMD), which mediates lytic cell death. This leads to release of cytokines, water influx, membrane rupture, and lysis. After hypoxia-ischemia in P7 rats, inhibition of pyroptosis reduced brain infarct volume and improved neurobehavioral outcomes. The nucleotide-binding and oligomerization domain (NOD)-like receptor protein (NLRP)/caspase-1/GSMD pathway leads to microglial pyroptosis and activation, and application of a small-molecule inhibitor of NLRP3 inflammasomes alleviated injury in these rats. Selectively inhibiting pyroptosis with an oral prodrug Belnacasan (Vx765), which is metabolized to esterases that inhibit caspase-1, reduced infarct volume and improved behavioral outcomes after neonatal stroke by preventing NLRP activation of the GSMD effector protein. Similarly, in a neonatal mouse model of chronic hyperoxia, caspase-1 inhibition attenuated NLRP1 activation and pyroptosis-mediated cell death in the lung and brain. This finding suggests that pyroptosis may be crucial in hyperoxia-induced injury , so blocking this inflammatory process may be a potential therapeutic target, particularly for extremely preterm infants who may be exposed to alternating cycles of hypoxia and hyperoxia throughout their early clinical course.

A final form of cell loss, autophagy , also occurs within the setting of neonatal hypoxic-ischemic brain injury. Autophagy is an adaptive process through which eukaryotic cells degrade and recycle their own cytoplasm and organelles via lysosomes, in response to unfavorable conditions. Autophagy is considered to be a homeostatic nonlethal stress response protecting the cell from low nutrient supplies. Autophagy is classified as a form of programmed cell death. A histological hallmark of autophagy is the formation of double-membrane autophagosomes derived from the endoplasmic reticulum. These mature and then fuse with lysosomes, followed by degradation or recycling of the autophagosome content. Autophagy is seen in developmental and pathological conditions. Both in vitro and in vivo studies reveal that it has a significant role after neonatal hypoxic-ischemic injury, depending on the severity of the insult, maturation, and cerebral region. Autophagy may have a role in long-term neurodegeneration following neonatal hypoxia-ischemia, and genetic or pharmacological inhibition of autophagy was found to be protective in neonatal rats.

PRIMARY MEDIATORS OF HYPOXIC-ISCHEMIC INJURY IN THE NEWBORN BRAIN—PHYSIOLOGICAL AND BIOCHEMICAL

Major Pathogenetic Themes

The traditional unifying disturbance to neural tissue in HIE is a deficit in oxygen and substrate supply resulting in energy deficit. As noted earlier, the perinatal brain can be deprived of oxygen by two major pathogenetic mechanisms: hypoxemia, which is a diminished amount of oxygen in the blood supply, and ischemia, which is a diminished amount of blood perfusing the brain. It is difficult to disentangle their effects because, as discussed earlier, they are intimately linked. In adult life, the most common global insult is cardiac arrest, leading to immediate hypoperfusion with secondary hypoxemia due to lack of gas exchange. In the newborn, in the great majority of cases, primary, severe hypoxemia leads to secondary hypotension and cerebral ischemia. Critically, this superimposed reduction in CBF further reduces residual oxygen delivery but also reduces delivery of substrates, such as glucose; this combined deficit accelerates the onset and severity of cell death .

Thus the initial focus of this section will be CBF and its perturbation. In the following sections, we first discuss CBF in the immature brain and its patterns of perturbation in the preterm and term-born brain. In the next major section, we then discuss the biochemical changes in the brain associated with hypoxemia, ischemia, and asphyxia, initially with an emphasis on carbohydrate and energy metabolism. The manner in which these biochemical changes are affected by other perinatal factors (e.g., the status of carbohydrate metabolism at the time of the insult, the state of brain maturation, and the process of birth) is also described. Subsequent sections synthesize the burgeoning literature on the mechanisms of cell death with oxygen deprivation and focus on the critical importance of biochemical events beyond glucose and energy metabolism. Particular roles for increase in extracellular glutamate, excessive activation of glutamate receptors (excitotoxicity), increase in cytosolic calcium (Ca 2+ ), and generation of free radicals are emphasized.

Physiological Mediators: Cerebral Blood Flow

Fetal Circulation

The essential features of the fetal circulation, based principally on work with large animals (e.g., sheep, goats, and nonhuman primates), begin with events at the placenta. Gas exchange occurs efficiently at the placenta, although oxygen diffusion is somewhat restricted, and fetal arterial oxygen tension values are considerably lower than maternal values (see Chapter 10 ). Compensatory responses to this lower oxygen tension in the fetus include hemoglobin F, with its favorable oxygen affinity curve, polycythemia, and a relatively high cardiac output. Oxygenated blood from the placenta is carried through the umbilical vein, which empties into the inferior vena cava. This well-oxygenated blood enters the right atrium and is preferentially shunted through the patent foramen ovale ultimately to the aortic arch and then to the coronary and cerebral circulations. Poorly oxygenated blood from the superior vena cava is preferentially shunted into the right ventricle and the pulmonary artery. Because of the high pulmonary vascular resistance, this blood primarily enters the ductus arteriosus and the descending aorta and returns to the placenta through the umbilical arteries.

Cerebral Autoregulation

Cerebral blood flow has been measured in normal and pathological states by a variety of methods as summarized in Table 16.2 . Normal human newborn values are affected by multiple factors as shown in Table 16.3 . Cerebral autoregulation appears to be operative over a broad range of arterial blood pressure in the preterm and term fetal lamb, the neonatal lamb, and the neonatal dog. The principal stimulus for the autoregulatory change in vascular diameter appears to be largely deformation of endothelial cells and generation of endothelial-derived signals that act on the vascular smooth muscle. With a decrease in transmural pressure, nitric oxide (NO) and Ca 2+ -activated K + channels are important in the vasodilation response, and with an increase in transmural pressure, endothelin-1 is critical in mediation of the vasoconstriction response. The autoregulatory range of blood pressures varies slightly among species and experimental conditions. The curve for the fetal lamb at approximately 80% gestation is shown in Fig. 16.10 .

TABLE 16.2
Methods for Determination of Cerebral Blood Flow in the Newborn
Xenon-133 clearance techniques (intravenous, intraarterial, or inhalation administration)
Xenon computed tomography
Positron emission tomography (intravenous administration of H215O)
Single photon emission computed tomography
Near-infrared spectroscopy (continuous measurement of hemoglobin D [oxyhemoglobin—deoxyhemoglobin] or intermittent inhalation of oxygen)
Doppler ultrasonic techniques
Venous occlusion plethysmography
Electrical impedance techniques
Magnetic resonance techniques a (utilization of motion-sensitizing gradient pulses or paramagnetic contrast agent; e.g., gadolinium)

a Not yet applied to the newborn.

TABLE 16.3
Cerebral Blood Flow in the Newborn as Determined by the Intravenous Xenon-133 Clearance Technique a
BIRTH WEIGHT/GESTATIONAL AGE (MEAN OR RANGE) NO. OF INFANTS AGE AT STUDY (MEAN OR RANGE) CONDITIONS MEAN CEREBRAL BLOOD FLOW (mL/100 g per min) REFERENCES (FIRST AUTHOR, YEAR)
33.4 wk 16 5 days Stable 29.7 Greisen, 1984
29–34 wk 15 15–17 days Quiet sleep 17.4 Greisen, 1985
Active sleep 17.0
Wakeful 21.8
Unclassified 16.8
1510 g/31 wk 42 0–5 days Nonventilatory support 19.8 Greisen, 1986
Continuous positive airway pressure 21.3
Mechanical ventilation (IMV <20) 12.4
Mechanical ventilation (IMV >20) 11.0
Entire group 15.5
1340 g/31 wk 15 3.7 wk Stable F1–87.5b Younkin, 1987
F2–17.2
<33 wk 25 1.6 days Mechanical ventilation 12.3 Greisen, 1987
1420 g/30.9 wk 14 3 h Glucose ≥1.7 mmol/L 11.8 Pryds, 1988
1210 g/30.5 wk 10 3 h Glucose ≤1.7 mmol/L 26.0
1569 g/31.7 wk 21 31 days Stable 35.4–41.3b Younkin, 1988
1050 g/29.2 wk 18 12.6 h Stable 13.1 Lipp-Zwahlen, 1989
1540 g/30.4 wk 18 6.4 h Mechanical ventilation 8.4 Pryds, 1989
1380 g/30.4 wk 8 16.9 h Mechanical ventilation 10.2
1470 g/30.3 wk 12 34.3 h Mechanical ventilation 11.5
27–33 wk 20 48 h Mechanical ventilation 10.0 Greisen, 1987
1310 g/29.5 wk 12 2 h Glucose ≥30 mg/dL 12.0 Pryds, 1990
1500 g/31.2 wk 13 2 h Glucose ≤30 mg/dL 18.6
1175 g/29 wk 20 <12 h Mechanical ventilation 8.7 (total group) Pryds, 1990
9.2 (9 infants with normal outcome)
1300 g/28.0 wk 16 4 days Before aminophylline 13.2 Pryds, 1991
After (1 h) aminophylline 10.9
1060 g/28 wk 10 <36 h Mechanical ventilation 10.4 Muller, 1997
b Calculation of cerebral blood flow used partition coefficients derived from studies of adults, which may result in overestimation of cerebral blood flow in the newborn.
IMV , Intermittent mandatory ventilation.

a Excludes studies based on administration of xenon-133 by inhalation or intraarterial injection and values obtained from infants with documented major brain lesions.

Fig. 16.10, Autoregulation of cerebral blood flow in the preterm lamb. See text for details.

The curve for the fetal lamb differs from that for the neonatal lamb in two respects. First, the autoregulatory range in the fetal lamb is narrower , especially at the upper limit of the curve. Second, and perhaps more striking, the normal arterial blood pressure in the fetal lamb is very near or at the lower autoregulatory limit . Indeed, in the fetal lamb at 80% of gestation, normal arterial blood pressure is only 5 to 10 mm Hg above the lower limit of the curve, in contrast to the situation in older animals. In a subsequent study that included preterm fetal lambs at approximately 65% gestation (i.e., the onset of the third trimester), the lower autoregulatory limit was essentially identical to the normal resting arterial blood pressure. More recent data indicate that the range of blood pressure over which autoregulation is operative decreases with lower gestational age. These data indicate that with decreasing gestational age, resting mean arterial blood pressure (MABP) values approach the lower limit of the autoregulatory plateau, and the range of blood pressure over which CBF remains constant narrows . Stated in another way, the observations suggest that the margin of safety, at least in the fetus, is very small at the lower end of the autoregulatory curve and points to vulnerability to ischemic brain injury with modest hypotension. Vulnerability to hypertension also may result because little change occurs in the upper limit of the autoregulatory range during a brief developmental period (third trimester in the lamb and the human) when normal arterial blood pressure increases markedly. Thus normal arterial blood pressure shifts precariously close to the upper autoregulatory limit and renders capillary beds (e.g., germinal matrix) vulnerable to hemorrhage with modest hypertension.

Autoregulation in the term fetal lamb and in the newborn lamb has been shown to be impaired by hypoxia . A reduction in Pa o 2 from 20 to 16 mm Hg in the fetal animal and from approximately 70 to 30 mm Hg in the newborn animal abolished autoregulation. These decreases in Pa o 2 resulted in decreases in arterial oxygen saturation of less than 50%, which can be considered a hypoxic threshold for impairment of cerebrovascular autoregulation. The impairment of autoregulation required only a 20-minute exposure to hypoxia, and autoregulation did not recover until 7 hours after restoration of normoxia . Studies in adult animals showed that autoregulation is markedly attenuated by hypercarbia , and a similar phenomenon was observed in the perinatal animal and in the human preterm newborn. In a single study of the newborn lamb, systemic acidosis also was shown to cause a loss in cerebrovascular autoregulation .

Regional variation in the decrease in CBF provoked by hypotension to blood pressure values below the lower limit of the autoregulatory plateau has been described in the neonatal piglet, puppy, and lamb. In the neonatal piglet, the percentage of reduction in blood flow was least to the brainstem and greatest to the cerebrum. In a more detailed regional study in the newborn puppy, flow to cerebral white matter was most vulnerable to hypotension . Similarly, in the fetal lamb, the lower autoregulatory limit with hypotension was lower in the brainstem than in the cerebrum. Perhaps even more important, in the fetal lamb at the start of the third trimester, blood flow to cerebral white matter not only was particularly vulnerable to hypotension but also did not recover under conditions of reperfusion that restored blood flow to all other brain regions ( Figs. 16.11, 16.12 ). The latter observations may have implications for the topography of the injury in immature human brain with hypoxic-ischemic insults (see the later discussion and Chapter 18, Chapter 19, Chapter 20 ).

Fig. 16.11, Mean arterial blood pressure and regional cerebral blood flow (CBF; percentage of control values, mean ± SE) after hemorrhagic hypotension and reinfusion in the preterm lamb. The approximately 25% reduction in blood pressure resulted in significant lowering of CBF in all regions. However, only in cerebral white matter CBF failed to return to baseline levels on reinfusion.

Fig. 16.12, Mean arterial blood pressure and regional cerebral blood flow (CBF; percentage of control values, mean ± SE) after hemorrhagic hypotension and reinfusion in the near-term lamb. In contrast to the effect on CBF of a similar decrease in blood pressure in the preterm lamb (see Fig. 16.11 ), during hypotension a significant decline occurred only in cerebral cortex, and on reinfusion all values returned to baseline levels.

Cerebral Blood Flow During and After Perinatal Asphyxia or Other Hypoxic-Ischemic Insults in Experimental Animal Models

Important cerebral circulatory effects of perinatal asphyxia and related hypoxic-ischemic insults have been defined by studies of a variety of experimental models, some based on techniques that result in impaired gas exchange between mother and fetus or postnatally and others based on controlled manipulation of only specific blood gases or of blood pressure. During asphyxia , three of these circulatory effects occur initially, and two additional effects occur with more prolonged episodes (see Fig. 16.2 ). The effects include, initially, (1) a reduction in total cardiac output mediated by a vagally induced fall in heart rate and (2) intense peripheral vasoconstriction, initially induced by sympathetic neural activity and maintained by release of adrenal catecholamines. (3) In combination, these signals help redistribute a larger proportion of the cardiac output to the brain; during moderate asphyxia there is an increase in total and regional CBF whereas during severe asphyxia there is no change in total CBF and a loss of vascular autoregulation. With more prolonged episodes, the two additional effects are (4) a fall in cardiac output with the onset of systemic hypotension and, largely as a consequence, (5) a decrease in CBF (see Fig. 16.2 ). After asphyxia , critical additional circulatory effects develop, and, indeed, from the clinical standpoint, these postinsult effects are as important, if not more so, than those occurring during asphyxia (see Fig. 16.5 ). The cerebral metabolic effects are shown in Tables 16.4 and 16.5 .

TABLE 16.4
Effects of Ischemia on Carbohydrate and Energy Metabolism
↓ Glucose influx to brain
↑ Glycogenolysis
↑ Glycolysis
↓ Brain glucose
↑ Lactate production and tissue acidosis
↓ Phosphocreatine
↓ Adenosine triphosphate

TABLE 16.5
Brain Metabolites in White Matter of Fetal Sheep Made Hypoxic With or Without Hypotension
Data from Wagner KR, Ting P, Westfall MV, Yamaguchi S, Bacher JD, Myers RE. Brain metabolic correlates of hypoxic-ischemic cerebral necrosis in mid-gestational sheep fetuses: significance of hypotension. J Cereb Blood Flow Metab . 1986;6:425–434.
FETAL CONDITION WHITE MATTER INJURY BRAIN METABOLITE *
LACTATE PHOSPHOCREATINE ADENOSINE TRIPHOSPHATE
Normoxic, normotensive 3.2 0.7 0.7
Hypoxic, normotensive 9.9 0.5 0.9
Hypoxic, hypotensive + 19.5 0.3 0.1†

* Concentrations are mmol/kg; values are rounded off.

P < .05 versus normoxic, normotensive.

Redistribution of Fetal Circulation

Promptly after the onset of severe hypoxemia or asphyxia in the term fetal primate or lamb, there is a rapid vagally mediated fall in fetal heart rate with intense vasoconstriction of vessels to peripheral organs (see Fig. 16.2 ). Cardiac output falls roughly in proportion to the fall in heart rate, presumptively helping to preserve cardiac anerobic reserves, and blood pressure is initially increased. The peripheral vasoconstriction is initially mediated by rapid activation of the sympathetic efferent arm of the peripheral chemoreflex and then sustained by release of humoral factors including adrenal catecholamines, vasopressin and angiotensin-II. This combination redistributes a much greater proportion of the remaining cardiac output to the brain, the coronary circulation, and the adrenals, at the expense of blood flow to other regions. An approximately twofold increase in the proportion of cardiac output to the brain was noted in studies of term fetal primates. Moreover, to be effective, circulation must be maintained—hence, the hypertension that initially develops during severe fetal asphyxia is particularly important.

Increase in Cerebral Blood Flow

The major purpose of the circulatory changes as outlined is to maintain CBF in the presence of impending tissue oxygen debt. The pattern of changes is closely related to the severity of hypoxemia. In experiments with fetal and neonatal lambs, puppies, and primates, mild to moderate hypoxemia/asphyxia was associated with an increase of over 50%. The mechanisms of this initial increase in CBF relate in part to cerebral vasodilation, secondary to hypoxemia or hypercapnia, or both, presumably with increased perivascular H + concentration, likely mediated by elevated extracellular fluid concentrations of K + , adenosine, and prostaglandins. The particular importance of a rise or at least maintenance of blood pressure in the increase of CBF with asphyxia was indicated by several studies. In term fetal sheep subjected to moderate asphyxia by cord compression, the initial increase in MABP persisted for 60 minutes before decreasing to normal values. Carefully controlled experiments with the same animal suggested that fetal blood pressure may be even more critical for enhancing CBF than the local chemical factors, that which lead to cerebral vasodilation.

Although blood flow to various regions of the brain increases generally in concert with the increase in total CBF, distinct regional differences in this increase are apparent. In general, the increase in blood flow is most marked in brainstem structures and is least apparent in cerebral white matter. This general pattern was documented in the fetal lamb, neonatal lamb, and neonatal puppy. This effect has been interpreted as an attempt to maintain the integrity of vital brainstem centers. The mechanism for the heterogeneity in regulation of CBF is unknown; an endogenous opioid-mediated mechanism appears likely.

During severe hypoxemia, a very different pattern is seen . In near-term fetal sheep, below a threshold fetal arterial oxygen content of 1 mmol/L, however, CBF as measured by microspheres or changes in carotid blood flow is initially maintained and does not increase. Although it may seem counterintuitive for CBF not to increase during severe hypoxemia, it is part of a wider pattern of adaptation. First, brain activity is profoundly suppressed by activation of the adenosine A1 receptor and other endogenous inhibitory neuromodulators, such as gamma-aminobutyric acid (GABA). If adenosine A1 receptor activity is blocked, cell death is markedly increased. Further, during such severe insults there is preferential redistribution of blood flow within the brain toward the brainstem and away from the cerebrum; it is speculated that this redirection may help protect the brainstem and so preserve autonomic function.

Loss of Vascular Autoregulation

A serious impairment of cerebral vascular autoregulation develops with perinatal asphyxia as shown by a pressure-passive CBF. Using the radioactive microsphere technique and producing asphyxia (pH 6.8 to 7.0) in term fetal sheep by partial occlusion of umbilical vessels, Lou et al. lead to a striking pressure-passive CBF. Marked hyperemia, with CBF values up to six times normal, occurred when MABP was raised to 60 to 70 mm Hg, whereas CBF declined to close to zero in large cortical areas when MABP was lowered to 30 mm Hg. Vascular autoregulation in these term fetal animals appeared to be very sensitive to asphyxia. The likely mechanism relates most probably to the hypoxemia and hypercapnia that are the hallmarks of perinatal asphyxia. The sensitivity of the autoregulatory system in the fetal and neonatal brain to these alterations in blood gas levels was described earlier (see the section on autoregulation). The implications of these data for ischemic injury to perinatal brain are obvious. In one study of near-term fetal sheep, autoregulation of CBF was lost within 4 minutes of cord occlusion, and overt cerebral injury occurred by 10 minutes secondary to decreased CBF in the presence of hypotension.

Hypotension and Diminished Cerebral Blood Flow

Although the initial response to asphyxia is hypertension, this response is followed by hypotension. The rapidity and severity of this depends on the duration and severity of the asphyxial insult. The hypotension and consequent hypoperfusion reflect a further decrease in cardiac output secondary to a combination of impaired myocardial contractility with progressive attenuation of the initial peripheral vasoconstriction toward baseline values. That is, vasoparesis does not occur, but the initial intense vasoconstriction induced first by the sympathetic nervous system and then by other humoral factors is progressively lost.

The consequence for the brain may be devastating, because the impairment of vascular autoregulation leaves CBF at the mercy of perfusion pressure. Deficits in CBF may be marked, with relatively modest changes in mean arterial blood pressure. Impressive deficits in CBF (20%–80%) have been demonstrated, particularly in the parasagittal regions of the cerebral hemispheres and especially posteriorly, in the term fetal monkey subjected to severe and prolonged asphyxia. A similar parasagittal distribution of cerebral cortical injury was demonstrated in near-term fetal sheep subjected to cerebral ischemia. The detailed regional study in newborn dogs demonstrated that cerebral white matter also is particularly likely to exhibit diminished blood flow with hypotension. In the fetal sheep (0.65 gestation), cerebral white matter was particularly affected with ischemia, with white matter injury (WMI) determined by the topographical distribution within the ischemic regions of vulnerable differentiating oligodendrocytes. These observations correlate well with the neuropathological and clinical observations made in asphyxiated human infants (see Chapter 18, Chapter 20, Chapter 22, Chapter 24 ).

A summary of the major relationships between perinatal asphyxia and CBF during moderate or severe asphyxia is shown graphically in Fig. 16.2 . The initial effects leading to increased CBF are best considered as compensatory, adaptive responses (which could become maladaptive by leading to hemorrhage in vulnerable capillary beds). The later effects represent a decompensation of these responses and a cascade that leads to diminished CBF and brain injury.

Biochemical Mediators of Hypoxic-Ischemic Cerebral Injury

Effects of Hypoxia-Ischemia on Carbohydrate and Energy Metabolism

Hypoxic-ischemic insults are accompanied by effects on carbohydrate and energy metabolism in brain (see Tables 16.4 and 16.5 ). For reference, even spontaneous vaginal delivery significantly affects cerebral energy metabolites ( Table 16.6 ). In earlier years, the most frequently used models with perinatal animals included decapitation, severe hypotension, or occlusion of blood vessels supplying the cranium. The most widely used model in the past several decades has been the Rice-Vannucci adaptation of the Levine model of unilateral carotid artery ligation followed by systemic hypoxemia for generally 1 to 3 hours. This procedure results in hypoxic-ischemic neuronal and WMI in a middle cerebral artery distribution. The combination of hypoxemia and ischemia (i.e., an hypoxic-ischemic insult ) is most relevant to the situation in vivo in the human fetus and newborn. The effects of such an insult on carbohydrate and energy metabolism have been studied in detail in experimental models.

TABLE 16.6
Effect of Spontaneous Vaginal Delivery on Glycogen, Glycolytic Metabolites, and High-Energy Compounds in Rat Brain
Data from Vannucci RC, Duffy TE. Influence of birth on carbohydrate and energy metabolism in rat brain. Am J Physiol . 1974;226:933–940; Kohle SJ, Vannucci RC. Glycogen metabolism in fetal and postnatal rat brain: influence of birth. J Neurochem . 1977;28:441–443.
METABOLIC COMPOUND TIME AFTER DELIVERY (MIN)
1 10 60
PERCENTAGE OF TERM FETAL VALUES
Glycogen 88 74 90
Lactate 367 408 230
Lactate-pyruvate 425 181 157
Phosphocreatine 38 105 170
Adenosine triphosphate 67 92 96

This hypoxic-ischemic insult is commonly performed in 7-day-old rats (approximately analogous to the late preterm human newborn brain) by a combination of unilateral carotid occlusion and breathing of a low-oxygen (usually 8%) gas mixture. The importance of ischemia in the genesis of the brain injury in this model has been demonstrated by the findings that (1) carotid ligation alone does not lead to a decrease in CBF to the ipsilateral hemisphere, (2) the addition of the hypoxemia leads to marked disturbances in regional blood flow to the ipsilateral hemisphere, and (3) the topography of the injury to this hemisphere correlates closely with the topography of the decreases in regional CBF. Vannucci and colleagues defined the major biochemical changes. The initial biochemical changes are compatible with accelerated anaerobic glycolysis with lactate accumulation and glycogenolysis ( Figs. 16.13 and 16.14 ; Table 16.7 ). Particular importance for an increased capacity for glucose uptake in the acceleration of glucose utilization has been shown by the demonstration of increased levels of the glucose transporter proteins, GLUT1 (55 kDa) and GLUT3, for transport of glucose across the blood-brain barrier and the neuronal membrane, respectively, in the brain of hypoxic-ischemic 7-day-old rat pups in the first 4 hours after the insult. As with hypoxemia, a role for cyclic adenosine monophosphate in the induction of the glycolysis and glycogenolysis is suggested by marked rises (13-fold) in the levels of this mononucleotide in the first minutes after the onset of ischemia. Nevertheless, brain glucose concentrations fall more severely than with the anoxia of nitrogen breathing; after 2 minutes of ischemia, glucose had decreased markedly, whereas only a modest decrease occurred with nitrogen breathing after this time. Of course, this difference relates to the impairment of CBF and therefore glucose supply with ischemia. An additional difference between ischemia and hypoxemia is the more drastic increase in lactate and tissue acidosis with ischemia, because the circulation is interrupted. The more severe tissue acidosis obtains because the impaired cerebral circulation results in (1) diminished clearance of accumulated lactate and (2) diminished buffering of tissue carbon dioxide by the bicarbonate buffering system. The increased ratio of lactate to pyruvate in the cytosol is reflected in increased reduction (i.e., decrease) of the oxidized nicotinamide adenine dinucleotide (NAD+) reduced NAD (NADH) ratio ( Fig. 16.15 ). The latter ratio is more oxidized in the mitochondrion because of the limitation in cellular substrate (glucose) supply. (This important limiting role of brain glucose is discussed in more detail later concerning brain carbohydrate status and hypoxic-ischemic injury.) Perhaps most important, high-energy phosphate levels begin to decline within minutes, with the reservoir form, PCr, falling first ( Fig. 16.16 ). Histological evidence of brain injury becomes apparent after approximately 90 minutes.

Fig. 16.13, Energy production from glucose under aerobic conditions. Contrast with production under anaerobic conditions (see Fig. 16.14 ). ADP , Adenosine diphosphate; ATP , adenosine triphosphate; NADH , reduced nicotinamide adenine dinucleotide; NAD + , oxidized nicotinamide adenine dinucleotide; P i , inorganic phosphate.

Fig. 16.14, Energy production from glucose under anaerobic conditions. Contrast with production under aerobic conditions (see Fig. 16.13 ). ADP , Adenosine diphosphate; ATP , adenosine triphosphate; P i , inorganic phosphate.

TABLE 16.7
Major Mechanisms for Biochemical Effects of Hypoxemia on Carbohydrate and Energy Metabolism
↑ Glucose influx to brain
Link to accelerated glucose utilization
↑ Glycogenolysis
Phosphorylase activation (↑ cAMP)
↑ Glycolysis
Phosphofructokinase activation (↑ cAMP, ↑ ADP, ↑ P i , ↓ ATP, ↓ phosphocreatine)
Hexokinase activation (↑ cAMP)
↓ Brain glucose
Glucose utilization > glucose influx
↑ Lactate (and hydrogen ion)
Anaerobic glycolysis
Impaired utilization of pyruvate (through mitochondrial citric acid cycle–electron transport system)
↓ Phosphocreatine
↑ Hydrogen ion production through anaerobic glycolysis
↓ ATP, ↑ ADP
↓ ATP
↓ Oxidative phosphorylation
ADP , Adenosine diphosphate; ATP , adenosine triphosphate; cAMP , cyclic adenosine monophosphate; P i , inorganic phosphate.

Fig. 16.15, Link between lactate production and hydrolysis of phosphocreatine. Adenosine triphosphate (ATP) formation is the result. ADP , Adenosine diphosphate; NADH , reduced nicotinamide adenine dinucleotide; NAD + , oxidized nicotinamide adenine dinucleotide; PCr , phosphocreatine.

Fig. 16.16, Changes in cerebral high-energy phosphate reserves during hypoxia-ischemia in the immature rat. Seven-day-old postnatal rats were subjected to unilateral common carotid artery ligation followed by exposure to hypoxia with 8% oxygen at 37°C. Symbols represent means for adenosine triphosphate (ATP) , phosphocreatine (PCr) , and total adenine nucleotides (ATP + ADP + adenosine monophosphate). All values are significantly different from control (zero time point). Histological brain damage commences after 90 minutes of hypoxia-ischemia, with increasing severity thereafter.

The particular importance of ischemia in the genesis of the deleterious effects of hypoxic-ischemic insults was also shown in the fetal lamb and neonatal piglet. In both animal models, marked hypoxemia did not result in brain injury unless hypotension supervened . In the piglet, hypotension appeared to be a particular consequence of cardiac dysfunction, and the latter was especially correlated with severe systemic acidosis. In the fetal lamb, pronounced decreases in brain glucose and in high-energy phosphate levels, accompanied by an increase in lactate levels to as high as 16 to 24 mM, were the principal biochemical effects on carbohydrate and energy metabolism. These effects were particularly pronounced in cerebral white matter (see Table 16.5 ). This regional predilection may be relevant to the propensity of white matter to exhibit injury with hypotension in the premature newborn (see later and Chapter 18, Chapter 19, Chapter 20 ).

Secondary Energy Failure

The temporal aspects of the changes in glucose and energy metabolism after hypoxic-ischemic insult in the living animal have been identified best by studies of the neonatal piglet with phosphorus and proton magnetic resonance spectroscopy and have defined a delayed, secondary energy failure. Thus immediately after the insult, as expected, a marked increase in cerebral lactate levels and a marked decrease in high-energy phosphate levels were documented (i.e., primary energy failure). High-energy phosphate levels recovered to baseline levels in 2 to 3 hours ( Fig. 16.17 ); lactate levels improved but did not recover completely. A second decline in high-energy phosphate levels then occurred in the next 24 hours and was especially pronounced at 48 hours. This secondary energy failure and the earlier rise in cerebral lactate levels have been documented in the human term newborn subjected to apparent hypoxic-ischemic insult in the context of perinatal asphyxia (see Chapters 23 and 24 ). The onset of the secondary decline in high-energy phosphates varies according to species and nature of the insult, but in general the onset is clear by 8 to 16 hours and reaches a nadir at 24 to 48 hours. These changes were described earlier concerning the primary, latent, and secondary phases of injury after hypoxia-ischemia .

Fig. 16.17, High-energy phosphate levels in hypoxia-ischemia in brain of neonatal piglets. Note the sharp decline with the insult, followed by a recovery to baseline in 2 to 3 hours. A few hours later, a second decline ensues and constitutes “secondary energy failure” (see text). PCr , Phosphocreatine; Pi , inorganic phosphate.

Influence of Carbohydrate Status on Hypoxic-Ischemic Brain Injury

Deleterious Role of Low Brain Glucose in Perinatal Animals

A series of older studies with immature animals suggest a beneficial effect of prior administration of glucose and a deleterious effect of hypoglycemia on the survival response to anoxic insult (i.e., nitrogen breathing). The effects of glucose appeared to be exerted on the central nervous system rather than on the heart, because time to last gasp was altered before cardiac function. This observation is compatible with data indicating the particular resistance of immature heart to combined hypoxia and hypoglycemia, presumably because of rich carbohydrate stores and high glycogenolytic and glycolytic capacities. Later work on the survival and neuropathological response to hypoxia and ischemia in neonatal rodents also demonstrated a beneficial effect of pretreatment with glucose and a deleterious effect of hypoglycemia ( Fig. 16.18 ).

Fig. 16.18, Deleterious effect of hypoglycemia on vulnerability to anoxia (nitrogen breathing). The percentage of survival of newborn rats was determined as a function of duration of anoxia. Hypoglycemia was produced by insulin injection 1 to 2 hours before onset of anoxia; some hypoglycemic animals were pretreated with glucose (1.8 g/kg subcutaneously) either 10 or 30 minutes before anoxia.

One study of 185 term human infants who had sustained apparent intrapartum asphyxia (markedly low cord pH) showed a deleterious effect of initial hypoglycemia on neurological outcome. Thus of infants who had initial blood glucose values lower than 40 mg/dL, 56% had an abnormal neurological outcome, versus only 16% among those with initial blood glucose values higher than 40 mg/dL. This apparent deleterious effect of hypoglycemia was also documented in a study focused on the neuroimaging correlates of hypoglycemia in the term-born infant that revealed patterns of brain injury similar to those of hypoxic-ischemic injury. Importantly, in this study the majority of infants had low initial Apgar scores with or without acidemia, suggesting that the hypoglycemia was complicating an underlying asphyxial cerebral insult.

Importance of Endogenous Brain Glucose Reserves in Perinatal Animals

The biochemical mechanisms for the relation between carbohydrate status and resistance to hypoxic-ischemic insult relate to glycolytic capacity. Thus with hypoxic-ischemic states, replenishment of brain high-energy phosphate levels depends on anaerobic glycolysis. Because of the 19-fold reduction in ATP production per molecule of glucose when the brain is forced to oxidize glucose anaerobically, glycolytic rate must be enhanced greatly. The adaptive mechanisms that come into play for this purpose are summarized in previous sections. The greatly enhanced glycolytic rate leads to a decline of brain glucose levels. If this decline is prevented (e.g., by prior administration of glucose), glycolytic rate and, hence, ATP production are increased, and the biochemical and clinical outcome for animals rendered hypoxic or partially ischemic is improved considerably. Indeed, the careful studies of Vannucci et al. indicated that the major factor accounting for the difference in outcome between normoglycemic and hypoglycemic animals rendered hypoxic is the amount of endogenous brain glucose reserves at the time of the insult. In hypoglycemic animals, a 10- to 20-fold reduction in endogenous brain glucose resulted and correlated best with the impaired glycolytic rate and the decline in high-energy phosphate levels in brain with nitrogen breathing. Brain glycogen levels seemed to be less important. Thus the capacity for surviving hypoxemia was reduced five-fold in hypoglycemic animals at a time (i.e., 60 minutes after insulin injection) when brain glycogen level was reduced by only 20%, but brain glucose level was reduced by more than 10-fold ( Fig. 16.19 ). Similarly, reversal of the vulnerability correlated with a rapid normalization of brain glucose levels but no significant change in brain glycogen levels.

Fig. 16.19, Greater importance of brain glucose reserves than glycogen in effects of hypoglycemia on vulnerability to anoxia (nitrogen breathing). Brain glucose and glycogen levels in newborn rats were determined as a function of duration of anoxia. Hypoglycemia was produced by insulin injection at the onset of the experiment. At 60 minutes, survival was five-fold lower in hypoglycemic versus control animals (data not shown) . At this 60-minute point, glucose was reduced much more severely than was glycogen. The arrow indicates subcutaneous administration of 10% glucose (1.8 g/kg). This resulted in a marked improvement in survival (data not shown) and a normalization of brain glucose but not of glycogen.

Deleterious Role of Increased Brain Glucose in Adult Animals

A potentially deleterious role for increased brain glucose in the clinical, pathological, and biochemical responses to hypoxemia and ischemia was suggested initially by studies with juvenile rhesus monkeys. In a series of experiments with animals routinely food deprived for 12 to 24 hours before subjection to circulatory arrest, investigators showed that a period of circulatory arrest as long as 14 minutes was compatible with apparently good neurological recovery and “minimal” neuropathological abnormalities, restricted principally to brainstem nuclei, hippocampus, and Purkinje cells. However, animals that were administered an infusion of 1.5 to 3 g/kg of glucose (5% dextrose in saline) that terminated 10 minutes before the 14-minute period of circulatory arrest did very poorly. The clinical course was characterized by seizures, hypertonia, and, ultimately, decerebrate rigidity, evolving over hours. On sacrifice, glucose-pretreated monkeys, in contrast to the food-deprived monkeys, exhibited “widespread areas of necrosis affecting the cortex and basal ganglia”. In a subsequent study, glucose was administered as a 50% solution in a dose of 2.5 to 5 g/kg 15 minutes before circulatory arrest, and similar clinical and neuropathological consequences were observed.

You're Reading a Preview

Become a Clinical Tree membership for Full access and enjoy Unlimited articles

Become membership

If you are a member. Log in here